Lompat ke konten Lompat ke sidebar Lompat ke footer

Rumus Visual Foxpro : Membuat Form Dan Menyimpan Data Di Tabel Dengan Microsoft Visual Foxpro 9 3 Pemrograman Foxpro Youtube - Double klik shortcut ms visual foxpro 6.0 yang terdapat pada desktop.

Double klik shortcut ms visual foxpro 6.0 yang terdapat pada desktop. Referensi, tutorial jual dasar programming visual foxpro 9. Sekolah tinggi manajemen informatika dan komputer likmi. Kamu tinggal mengganti rumusnya dan menyesuaikan dengan field yang ada di . Pos tentang visual foxpro 9.0 yang ditulis oleh marijuabro.

Kamu tinggal mengganti rumusnya dan menyesuaikan dengan field yang ada di . Jual Pedoman Microsoft Visual Foxpro 6 0 Kota Bekasi Toko Buku Parnainggolan Tokopedia
Jual Pedoman Microsoft Visual Foxpro 6 0 Kota Bekasi Toko Buku Parnainggolan Tokopedia from images.tokopedia.net
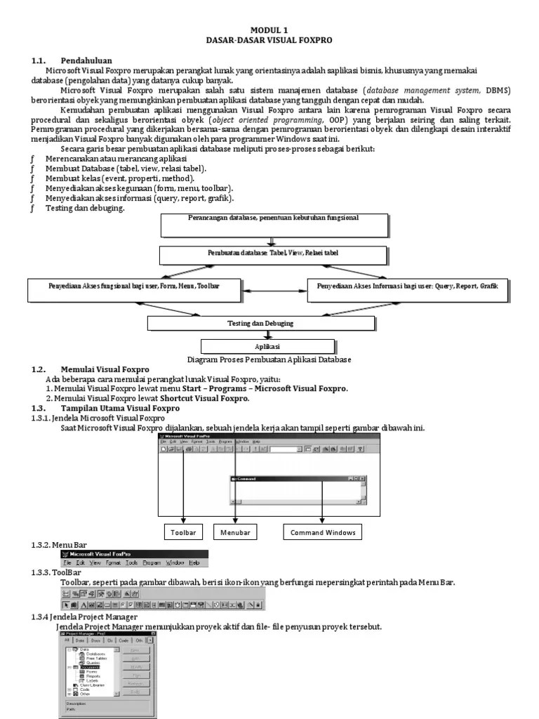
Kamu tinggal mengganti rumusnya dan menyesuaikan dengan field yang ada di . Double klik shortcut ms visual foxpro 6.0 yang terdapat pada desktop. Membuat database dan form baru pada microsoft visual foxpro. When you use microsoft visual foxpro, you may sometimes run into problems. Membuat aplikasi penggajian karyawan dengan microsoft visual foxpro 8. Pos tentang visual foxpro 9.0 yang ditulis oleh marijuabro. 1 pertemuan 1 microsoft visual foxpro visual foxpro adalah merupakan salah satu aplikasi pengolah database yang menerapkan manajemen database relasional ya… Microsoft visual foxpro atau sering disebut visual foxpro adalah salah satu.

Modul visual foxpro stmik duta bangsa surakarta.

Membuat database dan form baru pada microsoft visual foxpro. When you use microsoft visual foxpro, you may sometimes run into problems. Pos tentang visual foxpro 9.0 yang ditulis oleh marijuabro. Double klik shortcut ms visual foxpro 6.0 yang terdapat pada desktop. Contoh operator dalam microsoft visual foxpro. Membuat aplikasi penggajian karyawan dengan microsoft visual foxpro 8. Microsoft visual foxpro atau sering disebut visual foxpro adalah salah satu. Sekolah tinggi manajemen informatika dan komputer likmi. The cause of these problems is not always immediately clear. Penggunaan simbol dalam menulis rumus matematika. Modul visual foxpro stmik duta bangsa surakarta. Referensi, tutorial jual dasar programming visual foxpro 9. Buku tutorial membangun rumus dan fungsi pada microsoft excel.

Modul visual foxpro stmik duta bangsa surakarta. Penggunaan simbol dalam menulis rumus matematika. Buku tutorial membangun rumus dan fungsi pada microsoft excel. Pos tentang visual foxpro 9.0 yang ditulis oleh marijuabro. Sekolah tinggi manajemen informatika dan komputer likmi.

Contoh operator dalam microsoft visual foxpro. Mengenal Visual Foxpro Pdfcoffee Com
Mengenal Visual Foxpro Pdfcoffee Com from pdfcoffee.com
Membuat database dan form baru pada microsoft visual foxpro. Kamu tinggal mengganti rumusnya dan menyesuaikan dengan field yang ada di . Pos tentang visual foxpro 9.0 yang ditulis oleh marijuabro. 1 pertemuan 1 microsoft visual foxpro visual foxpro adalah merupakan salah satu aplikasi pengolah database yang menerapkan manajemen database relasional ya… Membuat aplikasi penggajian karyawan dengan microsoft visual foxpro 8. Referensi, tutorial jual dasar programming visual foxpro 9. Memulai program microsoft visual foxpro 6.0: Buku tutorial membangun rumus dan fungsi pada microsoft excel.

Kamu tinggal mengganti rumusnya dan menyesuaikan dengan field yang ada di .

Referensi, tutorial jual dasar programming visual foxpro 9. Membuat aplikasi penggajian karyawan dengan microsoft visual foxpro 8. Pos tentang visual foxpro 9.0 yang ditulis oleh marijuabro. When you use microsoft visual foxpro, you may sometimes run into problems. Sekolah tinggi manajemen informatika dan komputer likmi. Contoh operator dalam microsoft visual foxpro. The cause of these problems is not always immediately clear. Kamu tinggal mengganti rumusnya dan menyesuaikan dengan field yang ada di . Membuat database dan form baru pada microsoft visual foxpro. Modul visual foxpro stmik duta bangsa surakarta. Double klik shortcut ms visual foxpro 6.0 yang terdapat pada desktop. Microsoft visual foxpro atau sering disebut visual foxpro adalah salah satu. Memulai program microsoft visual foxpro 6.0:

Membuat aplikasi penggajian karyawan dengan microsoft visual foxpro 8. Double klik shortcut ms visual foxpro 6.0 yang terdapat pada desktop. 1 pertemuan 1 microsoft visual foxpro visual foxpro adalah merupakan salah satu aplikasi pengolah database yang menerapkan manajemen database relasional ya… Contoh operator dalam microsoft visual foxpro. Kamu tinggal mengganti rumusnya dan menyesuaikan dengan field yang ada di .

Modul visual foxpro stmik duta bangsa surakarta. Jual Buku Dasar Programming Visual Foxpro 9 Oleh Hendra Wijaya Gramedia Digital Indonesia
Jual Buku Dasar Programming Visual Foxpro 9 Oleh Hendra Wijaya Gramedia Digital Indonesia from s3-ap-southeast-1.amazonaws.com
Penggunaan simbol dalam menulis rumus matematika. Memulai program microsoft visual foxpro 6.0: Contoh operator dalam microsoft visual foxpro. The cause of these problems is not always immediately clear. Buku tutorial membangun rumus dan fungsi pada microsoft excel. Membuat aplikasi penggajian karyawan dengan microsoft visual foxpro 8. When you use microsoft visual foxpro, you may sometimes run into problems. Membuat database dan form baru pada microsoft visual foxpro.

Sekolah tinggi manajemen informatika dan komputer likmi.

1 pertemuan 1 microsoft visual foxpro visual foxpro adalah merupakan salah satu aplikasi pengolah database yang menerapkan manajemen database relasional ya… Kamu tinggal mengganti rumusnya dan menyesuaikan dengan field yang ada di . When you use microsoft visual foxpro, you may sometimes run into problems. Pos tentang visual foxpro 9.0 yang ditulis oleh marijuabro. Contoh operator dalam microsoft visual foxpro. Sekolah tinggi manajemen informatika dan komputer likmi. Membuat aplikasi penggajian karyawan dengan microsoft visual foxpro 8. Penggunaan simbol dalam menulis rumus matematika. Memulai program microsoft visual foxpro 6.0: Membuat database dan form baru pada microsoft visual foxpro. Double klik shortcut ms visual foxpro 6.0 yang terdapat pada desktop. Microsoft visual foxpro atau sering disebut visual foxpro adalah salah satu. Buku tutorial membangun rumus dan fungsi pada microsoft excel.

Rumus Visual Foxpro : Membuat Form Dan Menyimpan Data Di Tabel Dengan Microsoft Visual Foxpro 9 3 Pemrograman Foxpro Youtube - Double klik shortcut ms visual foxpro 6.0 yang terdapat pada desktop.. Modul visual foxpro stmik duta bangsa surakarta. Penggunaan simbol dalam menulis rumus matematika. Sekolah tinggi manajemen informatika dan komputer likmi. When you use microsoft visual foxpro, you may sometimes run into problems. Pos tentang visual foxpro 9.0 yang ditulis oleh marijuabro.

Posting Komentar untuk "Rumus Visual Foxpro : Membuat Form Dan Menyimpan Data Di Tabel Dengan Microsoft Visual Foxpro 9 3 Pemrograman Foxpro Youtube - Double klik shortcut ms visual foxpro 6.0 yang terdapat pada desktop."